XM外汇:美联储利率决议:政策利率没变 经济预期显著提升 远端降息路径稍稍抬高
在中国股民热议国产AI聊天机器人和低空飞行载具的背景下,美联储举行了年内第二次货币政策会议,并在北京时间周四凌晨2点发布最新利率决议。

(来源:美联储)
与市场预期一致,美联储公开市场委员会全票通过按兵不动的决策,政策利率继续维持在5.25%-5.50%区间、缩表速度也没变。
决议文本变化极小
从利率决议本身的变化来看,3月决议文本与1月决议唯一的差别,就是将开头的“就业岗位增幅自去年初以来有所放缓,但依然强劲”改成了“就业岗位增幅依然强劲”,仅此删改了几个单词而已。

(近两次美联储利率决议一共就只改了几个单词,来源:美联储、财联社)
所以诸如“美联储致力于长期实现最大就业和2%通胀率”、还有“在委员会获取更多信心前,不适合降息”这些话,都已经是投资者们看了许多遍的说词了。
不过好在3月政策会议也会同步发布委员们的经济预期,给这样的一个凌晨保留了些许看点。
经济增速预期提高降息路径抬高
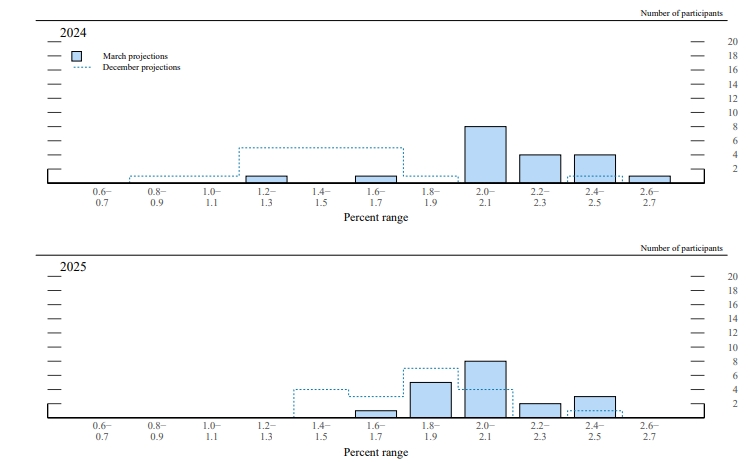
根据刚刚发布的点阵图,FOMC委员们对2024年底联邦基金利率的中位数预期依然维持在4.6%,但对2025和2026年的政策利率中位数预期抬高至3.9%和3.1%。在去年12月的预期中,委员们对2024年底的中位数政策利率预期为4.6%(年内降息3次),对于后续两年的预期则为3.6%和2.9%。
从19名委员“画的点”也不难看出,哪怕对于2024年政策利率的中位数预期依然是4.6%,有多名委员其实是减少年内降息预期的:与去年12月的图相比,预期2024年底政策利率维持在5%以上的委员从3位增加到4位,另外预期年底政策利率低于4.5%(隐含意义是年内降息幅度超过3次)的委员数量从5位减少至1位。足以显示,年初的通胀数据连续超出预期,的确对美国的货币政策制定者产生了影响。

(2024年3月点阵图,来源:美联储)

(2023年12月点阵图,来源:美联储)
当然,除了基准利率外,委员们也提供了对美国经济的预期数据,总结来说就是经济数据会比预期更加火热,因此核心通胀也会稍稍顽固一些。

(委员们对各项经济数据的预期中位数,来源:美联储)
从上图不难看出,最大的变化是美联储委员们显著上调对2024年美国实际GDP增速的预期,中位数直接从1.4%提高到2.1%。从具体分布图中也能看出,除了2名委员外,其余17人都预期今年美国实际GDP增速将超过2%。同时委员们对2025年经济增速的预期也明显增加/右移了。

(FOMC委员对2024和2025年的实际GDP增速预期,来源:美联储)
在经济更加火热的假设下,美联储官员预期失业率的上升速度稍稍放缓、同时通胀下降的速度也会放慢。这些因素同样也会导致降息的速度稍稍放慢一些。

(FOMC委员对2024年核心PCE通胀预期,来源:美联储)
